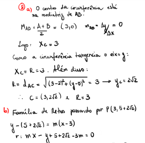
(ITA 2004) Sejam dados os pontos A(2,0), B(4,0) e P(3; 5 + 2√2)
a) Determine o centro e o raio da circunferência que passa por A e B, é tangente ao eixo y sendo seu centro localizado no primeiro quadrante
b) Obtenha a equação das retas tangentes a essa circunferência que passam por P
Gabarito:
Resolução:

