Publicidade
Publicidade

Questão 13

IME 2010
Matemática

[IME- 2010/2011 - 1a fase] Um trem conduzindo 4 homens e 6 mulheres passa por seis estações. Sabe-se que cada um destes passageiros irá desembarcar em qualquer uma das seis estações e que não existe distinção dentre os passageiros de mesmo sexo. O número de possibilidades distintas de desembarque destes passageiros é:

A
1.287
B
14.112 
C
44.200 
D
58.212 
E
62.822 

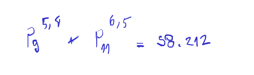
Gabarito: 58.212 

Resolução:

Trata-se de uma questão de combinação completa.

Em que podemos imaginar 5 divisórias que fazem a divisão de cada estação.

No esboço abaixo as barras representam as divisórias, e as bolinhas representam a quantidade de homens ou mulheres:

Já para as mulheres:

Pelo PFC temos que a quantidade total será:

Questões relacionadas

Questão 2

[IME- 2010/2011 - 1a fase] O valor de x que satisfaz a equação :
Ver questão

Questão 3

[IME- 2010/2011 - 1ª fase]  A base de uma pirâmide é um retângulo de área S. Sabe-se que duas de suas faces laterais são perpendiculares ao plano d...
Ver questão

Questão 4

[IME- 2010/2011 - 1ª fase]  Sejam , ..., os n primeiros termos de uma progressão aritmética. O primeiro termo e a razão desta progressão são os n&ua...
Ver questão

Questão 5

[IME- 2010/2011 - 1a fase] Uma reta, com coeficiente angular , passa pelo ponto (0,–1). Uma outra reta, com coeficiente angular , passa pelo ponto (0,1). Sabe-se que . O lugar geomét...
Ver questão
Publicidade