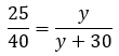
(UNESP - 2004) Um observador situado num ponto O, localizado na margem de um rio, precisa determinar sua distâcia até um ponto P, localizado na outra margem, sem atravessar o rio. Para isso marca, com estacas, outros pontos do lado da margem em que se encontra, de tal forma que P, O e B estão alinhados entre si e P, A e C também. Além disso, OA é paralelo a BC, OA = 25 m, BC = 40 m e OB = 30 m, conforme figura.
A distância, em metros, do observador em O até o ponto P, é:
30
35
40
45
50
Gabarito:
50

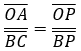
Por semelhança de triângulos:



A distância OP é 50 m.
Alternativa correta é Letra E.