[ITA 2010 - 1 FASE]
Considere o composto aromático do tipo C6H5Y, em que Y representa um grupo funcional ligado ao anel.
Assinale a opção ERRADA com relação ao(s) produto(s) preferencialmente formado(s) durante a reação de nitração deste tipo de composto nas condições experimentais apropriadas.
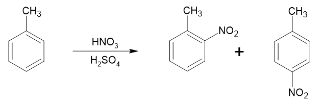
Se Y representar o grupo —CH3, o produto formado será o m-nitrotolueno.
Se Y representar o grupo —COOH, o produto formado será o ácido m-nitro benzóico.
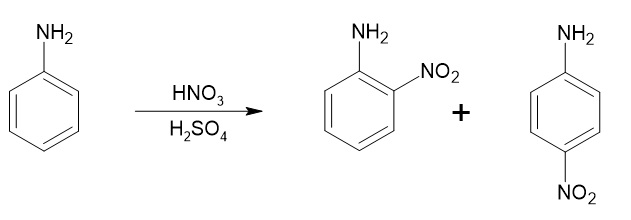
Se Y representar o grupo —NH2, os produtos formados serão o-nitroanilina e p-nitroanilina.
Se Y representar o grupo —NO2, o produto formado será o 1,3-dinitrobenzeno.
Se Y representar o grupo —OH, os produtos formados serão o-nitrofenol e p-nitrofenol.
Gabarito:
Se Y representar o grupo —CH3, o produto formado será o m-nitrotolueno.
a) Se Y representar o grupo —CH3, o produto formado será o m-nitrotolueno.
Incorreto. O grupo metila é orto-para dirigente, então os produtos formados são o-nitrotolueno e p-nitrotolueno:

b) Se Y representar o grupo —COOH, o produto formado será o ácido m-nitro benzóico.
Correta.

c) Se Y representar o grupo —NH2, os produtos formados serão o-nitroanilina e p-nitroanilina.
Correta.

d) Se Y representar o grupo —NO2, o produto formado será o 1,3-dinitrobenzeno.
Correta.

e) Se Y representar o grupo —OH, os produtos formados serão o-nitrofenol e p-nitrofenol.
Correta.
