(ENEM - 2013)
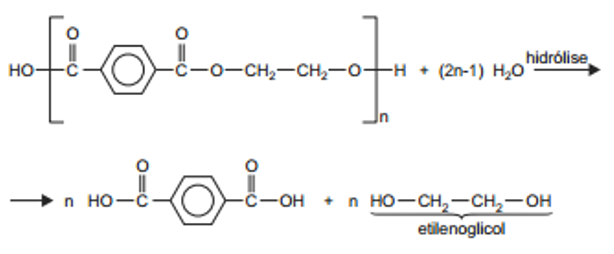
O uso de embalagens plásticas descartáveis vem crescendo em todo o mundo, juntamente com o problema ambiental gerado por seu descarte inapropriado. O politereftalato de etileno (PET), cuja estrutura é mostrada, tem sido muito utilizado na indústria de refrigerantes e pode ser reciclado e reutilizado. Uma das opções possíveis envolve a produção de matérias-primas, como o etilenoglicol (1,2-etanodiol), a partir de objetos compostos de PET pós-consumo.
Com base nas informações do texto, uma alternativa para a obtenção de etilenoglicol a partir do PET é a
solubilização dos objetos.
combustão dos objetos.
trituração dos objetos.
hidrólise dos objetos.
fusão dos objetos.
Gabarito:
hidrólise dos objetos.
Em geral, ésteres ao serem hidrolisados formam um ácido carboxílico e um álcool. Assim, ao hidrolisar o PET é possível obter etilenoglicol.
