(ENEM - 2009)
O uso de protetores solares em situações de grande exposição aos raios solares como, por exemplo, nas praias, é de grande importância para a saúde. As moléculas ativas de um protetor apresentam, usualmente, anéis aromáticos conjugados com grupos carbonila, pois esses sistemas são capazes de absorver a radiação ultravioleta mais nociva aos seres humanos. A conjugação é definida como a ocorrência de alternância entre ligações simples e duplas em uma molécula. Outra propriedade das moléculas em questão é apresentar, em uma de suas extremidades, uma parte apolar responsável por reduzir a solubilidade do composto em água, o que impede sua rápida remoção quando do contato com a água.
De acordo com as considerações do texto, qual das moléculas apresentadas a seguir é a mais adequada para funcionar como molécula ativa de protetores solares?





Gabarito:

Segundo o texto, essas são as características que a estrutura deve ter para funcionar como princípio ativo de protetores solares:
• Possuir anel aromático conjugado com o grupo carbonila
• Possuir, em uma de suas extremidades, uma parte apolar
a) Incorreto. A estrutura possui anel conjugado com o grupo carbonila, mas não tem uma parte apolar.
b) Incorreto. A estrutura possui uma parte apolar, mas não possui anel conjugado com o grupo carbonila.
c) Incorreto. A estrutura possui uma parte apolar, mas não possui anel conjugado com o grupo carbonila.
d) Incorreto. A estrutura possui uma parte apolar, mas não possui anel conjugado com o grupo carbonila. A estrutura possui um anel aromático e um grupo carbonila, mas eles não estão conjugados. Veja que não há uma ligação pi entre eles.
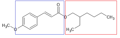
e) Correto. A estrutura possui tanto um anel aromático conjugada com o grupo carbonila (marcado em azul) quanto uma parte apolar (marcado em vermelho)
