Publicidade
Publicidade

Questão 16

ITA 2001
Matemática

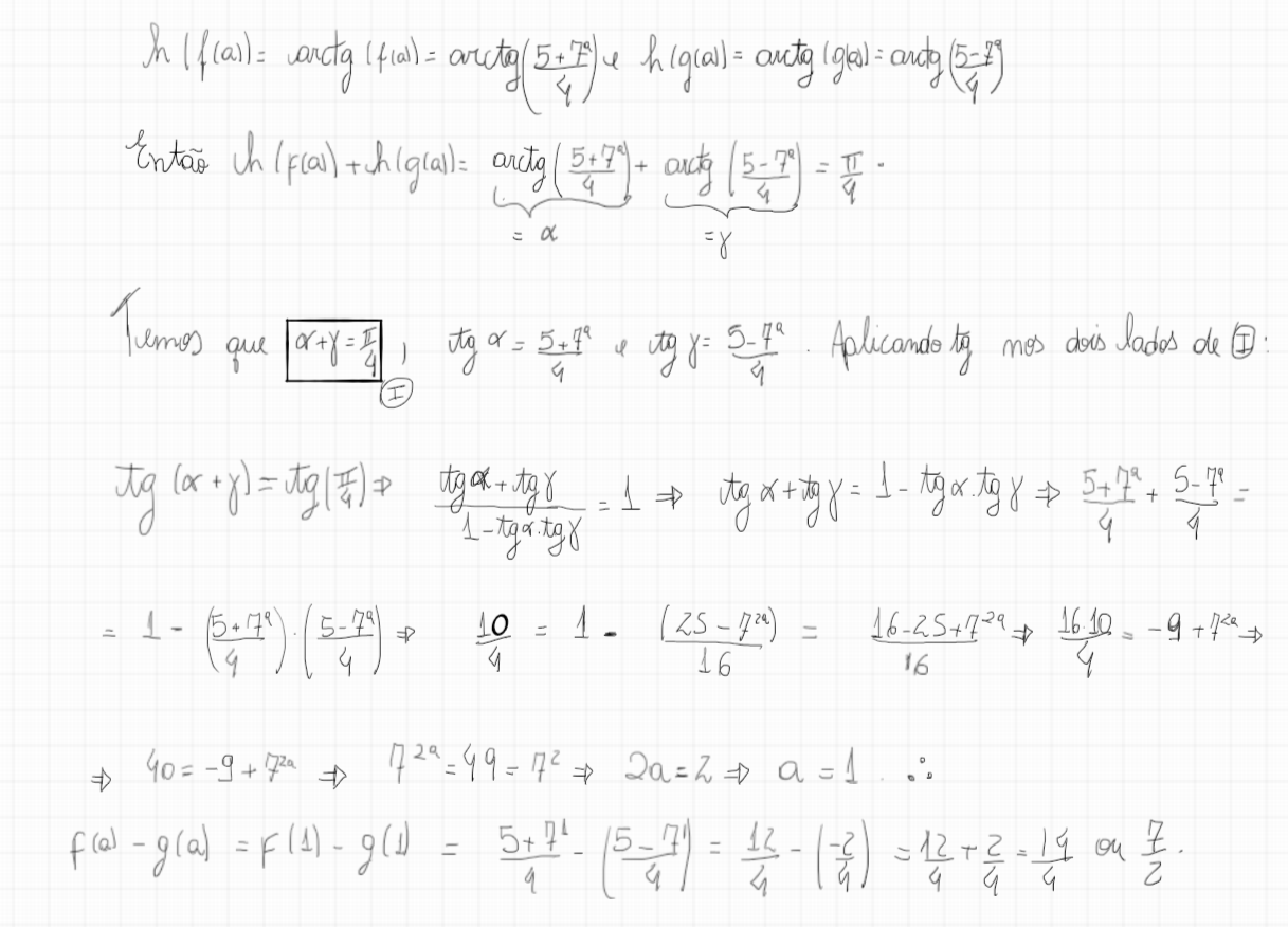
(ITA - 2001 - 1a Fase) Considere as funções

small fleft(x 
ight )=frac{5+7^x}{4},  small gleft(x 
ight )=frac{5-7^x}{4}  e  small hleft(x 
ight )=arctgleft(x 
ight ).

Se a é tal que h(f(a)) + h(g(a)) = small pi/4, então f(a) - g(a) vale:

A

0

B

1

C

7/4

D

7/2

E

7

Gabarito:

7/2



Resolução:

Questões relacionadas

Questão 14

(ITA - 2001 - 1a Fase) Sejam X, Y e Z subconjuntos próprios de IR, não vazios. Com respeito às afirmações: X∩{[Y∩(X∪Y)C]∪[X∪(XC ∩YC)C...
Ver questão

Questão 24

(ITA - 2001 - 1a Fase)  Num trapézio retângulo circunscritível, a soma dos dois lados paralelos é igual a 18cm e a diferença dos dois outros lados é igual...
Ver questão

Questão 5

(ITA - 2001) Um triângulo tem lados medindo 3, 4 e 5 centímetros. A partir dele, constrói-se uma sequência de triângulos do seguinte modo: os pontos médios dos l...
Ver questão

Questão 12

(ITA - 2001 - 1a Fase)  De dois polígonos convexos, um tem a mais que o outro 6 lados e 39 diagonais. Então, a soma total dos números de vértices e de diagonais dos do...
Ver questão
Publicidade