Publicidade
Publicidade

Questão 8

IME 2017
Química

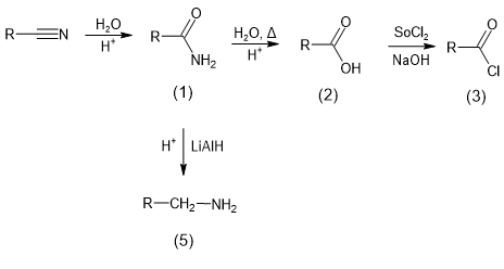
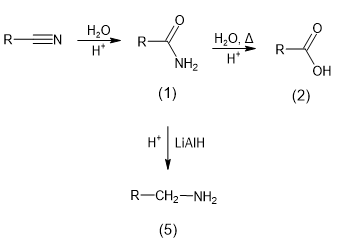
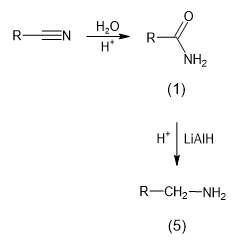
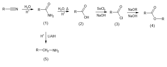
(IME - 2017/2018 - 2ª FASE ) Dadas as reações orgânicas abaixo, desenhe as estruturas planas dos compostos (1) a (5).

 

Gabarito:

Resolução:

A reação de uma amina com água em meio ácido é uma hidrólise ácida, e tem como produto amida, portanto (1) será:

A reação de amidas com LiAlH4 em meio ácido é uma reação de redução que leva a formação de uma amina primária:

Já a reação de hidrólise de amindas leva à formação de ácidos carboxílico:

A reação de ácido carboxílico com SoCl2 leva à formação de um haleto de acila:

O cloreto de acila ao reagir com alcóxido forma um éster:

Questões relacionadas

Questão 2

(IME - 2017/2018 - 2ª FASE )  As alquilações e acilações de Friedel-Crafts são reações de grande importância sintética na Qu&ia...
Ver questão

Questão 7

(IME - 2017/2018 - 1ª FASE )  Considere o diagrama de fases simples para o benzeno, em que PC é o ponto crítico e PT o ponto triplo. Os pontos de fusão e de ebuli&cc...
Ver questão

Questão 10

(IME - 2017/2018 - 1ª FASE )  Considere as duas moléculas abaixo:   Ambas sofrerão nitração nos anéis aromáticos via substituiç&ati...
Ver questão

Questão 2

(IME - 2017/2018 - 1ª FASE )  Um sistema fechado contendo um gás ideal no estado 1 sofre as transformações   e  conforme indicado na figura abaixo....
Ver questão
Publicidade