Publicidade
Publicidade

Questão 70576

UFMG 2004
Química

(UFMG - 2004) 

Um adesivo tem como base um polímero do tipo álcool polivinílico, que pode ser representado pela estrutura da figura 1. 


       (figura 1)

Considere a estrutura dos quatro materiais citados abaixo.

Com base nessas informações, é correto afirmar que o adesivo descrito deve funcionar melhor para colar:

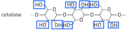
A

celulose.
 

B

cloreto de polivinila.

C

polietileno.

D

poliestireno.

Gabarito:

celulose.
 



Resolução:

O adesivo possui OH que o torna polar, com isso o melhor material que ele irá colar será polar.

Além disso, OH permite ligações de hidrogênio, que podem ser proporcionadas apenas pela celulose, portanto ela será o material que o adesivo melhor irá colar. 

Publicidade