Considere as seguintes afirmações sobre números reais:
I. Se a expansão decimal de x é infinita e periódica, então x é um número racional.
II. .
III. é um número racional.
É (são) verdadeira(s):
nenhuma.
apenas II.
apenas I e II.
apenas I e III.
I, II e III.
Gabarito:
apenas I e III.
Afirmativa I -
A dizima periódica é um número racional
Afirmativa verdadeira.
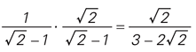
Afirmativa II -


Afirmativa Falsa
Afirmativa III -
Afirmativa verdadeira.
Gabarito: d)