(ITA - 2013 - 1ª Fase)
Considere as substâncias I, II e III representadas pelas seguintes fórmulas estruturais:
Sob certas condições de umidade, temperatura, pH e/ou presença de determinadas enzimas, estas substâncias são hidrolisadas. Assinale a opção CORRETA para o(s) produto(s) formado(s) na reação de hidrólise das respectivas substâncias.
Somente aminoácido é formado em I.
Somente aminoácido é formado em II.
Amina aromática é formada em I e II.
Amina é formada em I e III.
Aminoácido é formado em II e III.
Gabarito:
Somente aminoácido é formado em I.
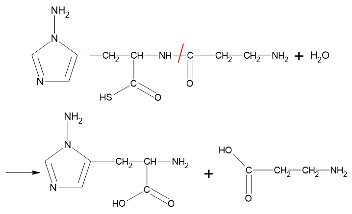
A hidrólise do composto I produz aminoácido:

A hidrólise do composto II produz 2 aminoácidos e álcool:
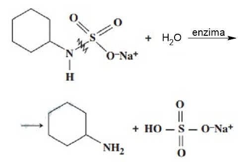
A hidrólise do composto III produz amina e um sal inorgânico:

A hidrólise do composto III produz amina e um sal inorgânico:
Na reação I, forma-se o grupo amino no primeiro aminoácido. Portanto, as alternativas a e d estariam corretas.