(ITA - 1995)
Qual das opções a seguir contém a afirmação CORRETA?
A oxidação de álcool a aldeído é mais fácil do que a redução de ácido carboxílico a aldeído.
É tão fácil oxidar álcool a aldeído como reduzir ácido carboxílico a aldeído.
Tanto ácido carboxílico como aldeído podem ser obtidos a partir da oxidação de álcool terciário.
Reações entre álcool e ácidos carboxílicos não são catalisadas por ácidos fortes.
É mais fácil oxidar benzeno do que oxidar ciclohexano.
Gabarito:
A oxidação de álcool a aldeído é mais fácil do que a redução de ácido carboxílico a aldeído.
Analisando as alternativas:
A) A oxidação de álcool a aldeído é mais fácil do que a redução de ácido carboxílico a aldeído.
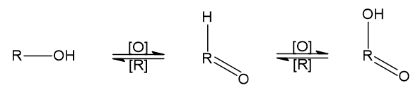
CORRETA. Lembrando as reações envolvendo álcoo, aldeído e ácido carboxílico:

Devido a baixa instabilidade do aldeído, existe maior facilidade desse composto se transformar em ácido carboxílico, fazendo com que a oxidação dele seja muito rápida. Em oposição, sua redução será muito difícil. Justamente pela facilidade que ele oxida, é muito difícil que o produto da redução ocorra, fazendo com que seja uma reação muito lenta. A oxidação do álcool será mais rápida.
B) É tão fácil oxidar álcool a aldeído como reduzir ácido carboxílico a aldeído.
INCORRETO. Como visto acima, a velocidade e facilidade das reações são diferentes.
C) Tanto ácido carboxílico como aldeído podem ser obtidos a partir da oxidação de álcool terciário.
INCORRETO. Alcoois terciários não reagem por oxidação.
D) Reações entre álcool e ácidos carboxílicos não são catalisadas por ácidos fortes.
INCORRETO. A reação de esterificação envolve a reação entre um álcool e um ácido carboxílico e é catalisada por um ácido forte, fazendo com que a reação ocorra mais rapidamente.
E) É mais fácil oxidar benzeno do que oxidar ciclohexano.
INCORRETO. A oxidação do ciclohexano é mais rápida devido ao menor número de etapas e energia utilizada na reação.