(IME - 2019/2020 - 1ª FASE)
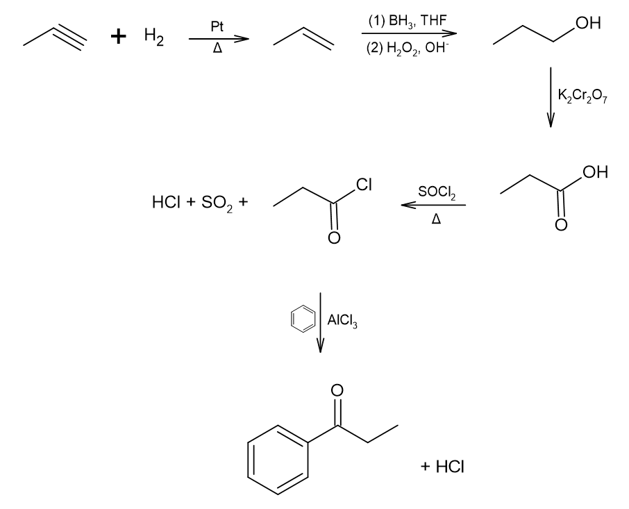
Considere a sequência de reações orgânicas abaixo:

A opção que corresponde aos compostos de (I) a (V), respectivamente, é:
alquino, alqueno, ácido carboxílico, cloreto de ácido, cetona.
alquino, alqueno, ácido carboxílico, haleto de alquila, cetona.
alqueno, alquino, ácido carboxílico, cloreto de ácido, cetona.
alquino, alqueno, ácido carboxílico, cloreto de ácido, fenol.
alquino, alqueno, éster, cloreto de ácido, cetona.
Gabarito:
alquino, alqueno, ácido carboxílico, cloreto de ácido, cetona.
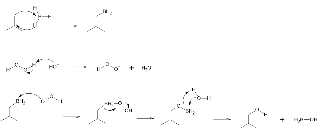
Para desenvolver o raciocínio dessa questão, deve-se iniciar a partir de um ponto de partida que não necessariamente precisa ser a primeira etapa da reação. Nessa caso, é possível identificar uma hidroboração seguida de oxidação gerando um álcool.

O reagente que, nessas condições, forma um álcool é necessariamente um alceno. Alcenos reagem por hidroboração/oxidação seguindo o seguinte mecanismo base:

Considerando o mecanismo base, pode-se prever que o alceno que deu origem ao álcool foi o propenol.

Seguindo a análise do mecanismo, um alceno seria formado pela hidrogenação catalisada de um alcino, já que a hidrogenação substitui insaturações por ligações com hidrogênio. Então:

Prosseguindo para o produto III, têm-se a oxidação branda de um álcool primário. Um álcool primário oxida a ácido carboxílico, então completando o esquema:

A reação de ácidos carboxílicos com SOCl2 forma o cloreto de acila correspondente, substituindo a OH pelo Cl:

A reação de um cloreto de acila com um hidrocarboneto é chamada de acilação de Friedel-Crafts, e forma como produto:

Então os produtos em cada uma das etapas são:
I) alquino ou alcino
II) alqueno ou alceno
III) ácido carboxílico
IV) haleto de ácido
V) cetona