(IME - 2019/2020 - 1ª FASE)
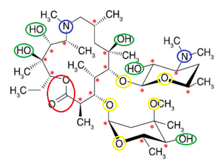
A azitromicina é um potente antibiótico comercial. Sua estrutura molecular está mostrada abaixo:
Considerando a estrutura acima, são feitas as seguintes afirmações:
I. Existem 2 átomos com hibridização .
II. A molécula possui 18 carbonos quirais.
III. Éster, amina e éter são funções orgânicas encontradas na molécula.
Com base na análise das afirmações acima, assinale a opção correta:
Há apenas uma afirmação verdadeira.
Apenas as afirmações I e II são verdadeiras.
Apenas as afirmações I e III são verdadeiras.
Apenas as afirmações II e III são verdadeiras.
Todas as afirmações são verdadeiras.
Gabarito:
Todas as afirmações são verdadeiras.

Legenda: Azul - aminas
Verde - álcool
Amarelo - éter
Vermelho - éster
Asteriscos vermelhos são os carbonos quirais
1) Na carboxila destacada na figura, tanto o átomo de carbono quanto o de oxigênio possuem geometria dos pares trigonal plana, e, portanto, hibridização .
2) Precisamos identificar carbonos que tenham todos os ligantes diferentes. Marcados com asterisco, existem 18 carbonos quirais na fórmula da molécula.
3) Foram identificadas as três funções na molécula orgânica.